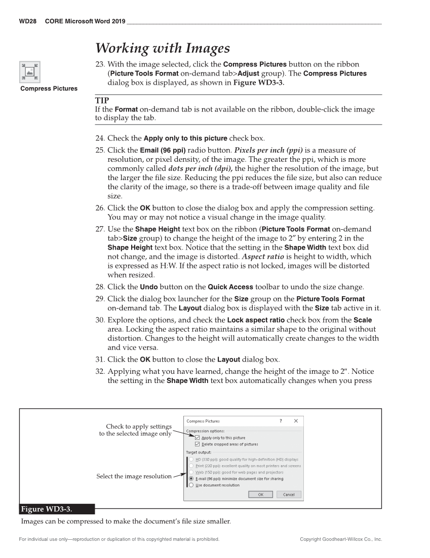
WD28 CORE Microsoft Word 2019 ______________________________________________________________________________ For individual use only—reproduction or duplication of this copyrighted material is prohibited. Copyright Goodheart-Willcox Co., Inc. Working with Images 23. With the image selected, click the Compress Pictures button on the ribbon (Picture Tools Format on-demand tabAdjust group). The Compress Pictures dialog box is displayed, as shown in Figure WD3-3. TIP If the Format on-demand tab is not available on the ribbon, double-click the image to display the tab. 24. Check the Apply only to this picture check box. 25. Click the Email (96 ppi) radio button. Pixels per inch (ppi) is a measure of resolution, or pixel density, of the image. The greater the ppi, which is more commonly called dots per inch (dpi), the higher the resolution of the image, but the larger the fi le size. Reducing the ppi reduces the fi le size, but also can reduce the clarity of the image, so there is a trade-off between image quality and fi le size. 26. Click the OK button to close the dialog box and apply the compression setting. You may or may not notice a visual change in the image quality. 27. Use the Shape Height text box on the ribbon (Picture Tools Format on-demand tabSize group) to change the height of the image to 2″ by entering 2 in the Shape Height text box. Notice that the setting in the Shape Width text box did not change, and the image is distorted. Aspect ratio is height to width, which is expressed as H:W. If the aspect ratio is not locked, images will be distorted when resized. 28. Click the Undo button on the Quick Access toolbar to undo the size change. 29. Click the dialog box launcher for the Size group on the Picture Tools Format on-demand tab. The Layout dialog box is displayed with the Size tab active in it. 30. Explore the options, and check the Lock aspect ratio check box from the Scale area. Locking the aspect ratio maintains a similar shape to the original without distortion. Changes to the height will automatically create changes to the width and vice versa. 31. Click the OK button to close the Layout dialog box. 32. Applying what you have learned, change the height of the image to 2. Notice the setting in the Shape Width text box automatically changes when you press Compress Pictures Check to apply settings to the selected image only Select the image resolution Figure WD3-3. Images can be compressed to make the document’s fi le size smaller.
Previous Page Next Page